在校生
教职工
校友
考生
招聘
融合门户
WebVPN
站点地图
工程黄页
English
乐鱼官网网页版_乐鱼(中国)官方概况
乐鱼官网网页版_乐鱼(中国)官方简介
乐鱼官网网页版_乐鱼(中国)官方章程
历史沿革
乐鱼官网网页版_乐鱼(中国)官方大事
历任领导
领导机构
现任领导
机构设置
乐鱼官网网页版_乐鱼(中国)官方标识
校园风光
师生风采
校内地图
教育教学
本专科生教育
研究生教育
继续教育
网络教学平台
乐鱼官网网页版_乐鱼(中国)官方
科学研究
科学研究处
科研机构
学术信息
师资队伍
国家级专家
省级专家
市级专家
省级名师
校级名师
长白山技能名师
学生工作
思政在线
处长信箱
合作交流
国际交流
社会合作
招生就业
本科招生
硕士研究生
继续教育招生
就业信息网
国际学生招生
思政建设
理论学习
工作动态
经验交流
人才招聘
招聘信息
人事处
文献信息
图书馆
档案馆
网站首页
>
通知公告
> 正文
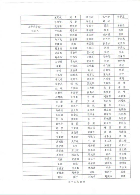
乐鱼官网网页版_乐鱼(中国)官方2011-2012学年在校学生评优结果公示
文章来源: 作者: 发布日期:2012年10月24日
上一条:
乐鱼官网网页版_乐鱼(中国)官方网络维护的紧急通知
下一条:
乐鱼官网网页版_乐鱼(中国)官方报送2013年因公出国(境)计划和出国培训项目申请的通知
相关文章
读取内容中,请等待...
信息分享
九游网页版
|
开云电子_开云电子(中国)
|
华体会体育(中国)HTH·官方网站
|
九游官方端入口
|
九游·体育(jiuyou.com)官方网站
|
爱游戏官方网
|
爱游戏买球官网网站(China)官方网站
|
九游电子娱乐_九游体育(中国)
|
开云集团有限公司官网
|